Zadání:
Sestavte program, který vypočte ze zadaného poloměru kružnice a vzdálenosti tětivy od středu délku této tětivy.
Řešení:
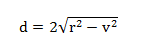
Řešení využívá Pythagorovu větu.
S = střed
r = poloměr
v = vzdálenost tětivy od středu
d = délka tětivy
Vzdálenost musí být menší než poloměr, jinak by se nejednalo o tětivu.

#include "stdafx.h"
#include "math.h"
#include
using namespace std;
int _tmain(int argc, _TCHAR* argv[])
{
float polomer,vzdalenost,tetiva;
printf("Zadejte polomer kruznice: ");
scanf_s("%f",&polomer,1);
printf("Zadejte vzdalenost tetivy od stredu: ");
scanf_s("%f",&vzdalenost,1);
if ((polomer>0) && (vzdalenost>0) && (polomer>=vzdalenost))
{
tetiva=2*sqrtf(pow(polomer,2)-pow(vzdalenost,2));
printf("Velikost tetivy: %.3f\n",tetiva);
}
else
printf("Vypocet nelze provest\n");
system("pause");
return 0;
}
program ke stažení